想了解设备资料?报价?售后?请留言,速回电
厂家直销,留言立享本月优惠价免费提供环保政策、办厂手续、投资预算等资料
金年会|金年会·jinnian(金子招牌)诚信至上新型筛分式双齿辊破碎机以功耗低、处理能力大、结构紧凑、振动小、排料粒度均匀、经久耐用等优点在矿山、电力等行业广泛应用。它通过高扭矩、低转速的传动系统,驱动左右破碎辊相对或相反旋转来破碎物料。
两破碎辊上螺旋排列的破碎齿直接参与物料破碎,其结构设计及质量的好坏,与整套设备的生产能力和使用寿命密切相关。本文选用金年会|金年会·jinnian(金子招牌)诚信至上筛分式双齿辊破碎机,以辊齿正常破碎物料和被非破碎异物卡死2种工况为分析对象,对破碎齿进行了受力计算并对其强度进行了有限元分析,证明该破碎齿可用来破碎石灰石等坚硬物料。
(3).jpg)
筛分式双齿辊破碎机结构如图所示。

两齿辊上的齿依次循环交错通过破碎腔,大块物料由相对的破碎齿尖咬合住,在一根破碎辊上的齿尖和另一根破碎辊上的齿背的三点支撑作用下,对物料施加拉伸载荷而实现物料的破碎。另外由于该破碎机具有强制排料功能,有可能会遇到铁块等非破碎异物,导致齿辊堵转。在这种极端情况下,辊齿几乎全部吸收破碎辊的动能,并承受其带来的巨大冲击力。由此可见破碎齿有以下2种受力工况:正常破碎工况和齿辊卡死工况。
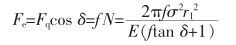
正常破碎工况下辊齿受力计算
为了便于计算辊齿受力,把物料简化为半径为r1的圆球形,辊齿在齿尖A处对物料施加大小为Fq的破碎力。
假设物料在进入破碎腔后无滚动,则:
![]()
式中f---物料与侧壁的摩擦系数;
E---物料的弹性模量;
σ---物料破碎挤压强度。
由式(1)可求得Fq=51.46kN。
齿辊卡死工况下辊齿受力计算
当两齿辊间落入大于出料粒度的铁块等非破碎异物时,双齿辊将被突然抱死。由于冲击时间极短,齿尖处将承受巨大的集中力。
![]()
式中k---过载系数,一般取k=5.0~8.2,根据破碎实际条件,取k=6;
Mn---齿辊额定转矩;
P---电机额定功率;
n---齿辊转速。
为了验证所设计的齿板的破碎强度是否符合实际要求,应用有限元分析软件对其进行强度分析。得到了齿板在2种工况下的应力分布、应变分布和位移分布。表2列出了2种工况下辊齿的等效应力、等效应变和位移。
应力均分布在齿尖圆弧处,另外齿的根部圆弧过渡处的等效应力值也明显超出邻近区域的应力值,说明齿尖在2种工况下,不仅受压力作用,还有弯矩作用。
卡死工况下,齿尖和齿根部区域应力大,应力值为2324MPa,远超过材料的屈服极限,其余部位的应力值在387MPa以下,低于材料的屈服极限。
正常破碎工况下辊齿所受应力值为288.7MPa,其等效应变和位移都较小,均在辊齿材料的允许范围之内。
(1).jpg)
(1)该破碎机辊齿在卡死工况下,齿尖部位将承受巨大的冲击力。因此在设计破碎机时,需要考虑采用除铁设备,并需配备专门的液力偶合器和电气设备等,来保护辊齿不损坏;
(2)在正常破碎工况下,辊齿所承受的应力值小于材料的屈服极限,而石灰石等矿石的抗压强度一般<150MPa,故而该辊齿可用于破碎石灰石等坚硬物料;
(3)在实际生产中,齿尖磨损是齿板的主要失效形式。该破碎机左右破碎辊上的齿板完全一致,在齿板部分磨损后,可任意调换使用,不仅提高了其使用寿命,而且安装更换方便灵活。
想了解设备资料?报价?售后?请留言,速回电
厂家直销,留言立享本月优惠价免费提供环保政策、办厂手续、投资预算等资料
3分钟前 高先生:时产200吨制砂机报个价,处理鹅卵石
8分钟前 李先生:移动式破碎机怎么解决粉尘问题?
13分钟前 徐女士:需要制砂机,南宁能看制砂现场吗?
16分钟前 程先生:破碎生产线出个方案及报价,有什么售后服务?
22分钟前 郑女士:想了解时产500吨锤破,加工石灰石
31分钟前 吴先生:成套石头破碎设备有吗?给个详细产品资料
36分钟前 罗先生:每小时100吨左右的鄂破和反击破,推荐下型号
42分钟前 梁先生:膨润土磨到200目,用什么磨粉设备?
提交留言我们会第一时间回复您!
传统的颚式破碎机结构设计简单,操作维护也较为方便,但是在生产中容易产生很多问题,设备的易损件寿命较低,使用成本比较高。为此,我们研究了新型的双腔颚式破碎机,该机是在原有设备结构上改变结构设计研发而成的。
2014-11-17筛分破碎机是一种新型破碎机,该破碎机运行可靠,出料粒度稳定,为选厂的正常生产提供有力的保证。本文将详细介绍筛分破碎机的工作原理和特点。
2014-01-22采用磨内筛分技术进行磨内改造的实质是:强化了物料在磨内的分级功能。可以使各种不同粒径的物料在粉磨机理的条件下完成粉磨作业,从而提高粉磨效率、降低能耗。磨内改造的具体方法如下:
2013-05-06提高块矿率,降低粉矿率是保证矿山正常生产和提高矿山经济效益的重要途径,MMD破碎筛分机则能很好地解决这个难题。以下是MMD破碎筛分机的主要特点和与其他破碎设备的区别
2013-03-15MMD破碎机是国外生产的一种新型破碎设备,在市场中占据不小的份额。齿帽是MMD破碎机上的一个关键易损部件,其质量的好坏对破碎机的生产效率及使用寿命有很大的影响。本文就来针对齿帽的磨损失效进行分析。
2013-03-14我国引进破碎机技术比较早,但是许多厂家对破碎机的设计理念不够先进,独立研发的能力不强,制造工艺水平也有所欠缺。企业在研发新型破碎机时应该注意下面几个问题:磨损率、产品粒度分布和故障分析与控制的问题
2012-12-22